
Dernière modification par MrDionne (28 mai 2018 à 23:11)
Hors ligne

Hors ligne

Hors ligne

Hors ligne

Drim a écrit
Mais franchement si t'es au vaporisateur t'es déjà pas mal en terme de potentialisation d'effets.
Pas vraiment, voir pas,
bien que la vaporisation soit rentable au niveau des quantités de weed/wax consommées, beaucoup de gens trouvent que ça fait moins d'effets que la weed par combustion, j'ai jamais trop vraiment vapé de la weed sérieusement, notamment parce que j'fume quasi pas d'weed, donc j'connais pas trop personnellement la différence qu'il y a entre les 2, mais j'ai quasiment vu que des avis de gens qui disaient que ça mettait une montée moins violente qu'en joints/douilles, après on préfère une montée plus forte ou pas c'est une histoire de goûts, mais globalement c'est ce que j'ai pu lire, que c'était relativement plus "doux" que du cannabis en joints/douilles (même avec des joints/douilles sans tabac)
Hors ligne


Hors ligne

Hors ligne

Hors ligne

neo a écrit
Je ne remets pas du tout en question vos savoirs. Pourtant a l epoque ou je fumais im m est arrivé plus d une fois d avaler.une boulette de teuch et d etre.bien raide...
C'est normal d'être défoncé quand même sans l'chauffer, manger du cannabis décarboxylé ça fait pas aucun effet, c'est juste que lorsqu'on le décarboxyle, les effets sont beaucoup plus forts car le THC s'assimile bien mieux, c'est possible de se défoncer en ingerant du canna sans ll'décarboxyler, faut juste augmenter grave les quantités, mais j'pense qu'avec du teush déjà ça passe mieux en ingestion car c'est sois vieilli sois chauffé sois les deux, donc ça aide car il est d'un certain coté déjà un peu décarboxylé si il a été chauffé (et globalement, du shit de rue ça été coupé/mélangé/chauffé 50 fois, donc doit y avoir une certaine partie de décarboxylée)
Hors ligne


Hors ligne

Dernière modification par MrDionne (30 mai 2018 à 14:19)
Hors ligne

Donc la dècarbo de la wax dans une tasse au four, c'est une bonne idée ou pas?
Oui, c'est une idée indispensable d'ailleurs mais il faut aussi prendre en compte de comment ton concentré a été conçu : déjà chauffé ou pas ?
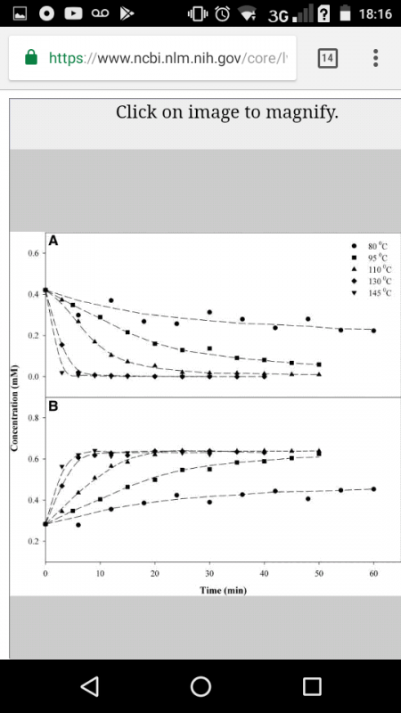
Je te conseille plutôt de choisir 120° en 25 mns car à 145°C c'est plus difficile d'être précis sur le temps et la température à moins d'avoir l'équipement parfait.
Comme tu peux le voir sur les courbes le taux thc diminue rapidement si tu dépasses le temps ou la température.
C'est difficile de maintenir une température précise dans un four normal.
Si tu es perfectionniste, le mieux est de chauffer un récipient fermé (dans lequel tu insères la sonde de ton thermomètre de cuisine) dans un bain d'huile (le récipient bien sûr, PAS le concentré) pour maintenir une température constante et précise.
Prends un récipient en pirex et fais un trou dans le couvercle pour laisser passer la sonde.
Même pour vaporiser je trouve qu'il est préférable de décarbo et un concentré décarbo peut aussi se fumer sans problème.
En résumé dés que tu as décarbo ton concentré tu peux t'en servir pour toutes les utilisations :
fumer, ingérer, vaporiser, en sub lingual ou le mélanger à du pg pour faire un eliquide.
Bonne journée,
PS : si ton concentré est destiné à être chauffé en cuisine il faut bien sûr prendre en compte le temps de chauffe de la cuisine pour coller le plus possible à 122°C en 30 minutes.
Par contre cela ne pose aucun problème aux températures d'un chocolat chaud.
Dernière modification par Lecoq (30 mai 2018 à 14:47)
Hors ligne

Lecoq a écrit
Si tu es perfectionniste, le mieux est de chauffer un récipient fermé (dans lequel tu insères la sonde de ton thermomètre de cuisine) dans un bain d'huile (le récipient bien sûr, PAS le concentré) pour maintenir une température constante et précise.
Question con mais, pourquoi? L'huile garde mieux la chaleur? J'ai pas trop saisi désolé
Bonne journée
Hors ligne

Dernière modification par Lecoq (30 mai 2018 à 15:49)
Hors ligne


Dernière modification par NMDA (30 mai 2018 à 17:30)
Hors ligne

Résultat HS pendant plus de 24h
Tu as parfaitement décarbo et là il faut vraiment faire attention en ingestion. Une balance de précision est obligatoire et commencer par tester 0,1 gramme à chaque fois est une habitude qui évite quelques surprises.
Hors ligne

Hors ligne

Ok. Donc juste pour être sûr. Je préchauffe mon four à 110°c, puis je met directement 0.3g de wax dans une tasse et je met le tout durant 32 minutes au four (30 minutes + 2 minutes pour récupérer la chaleur perdu après avoir ouvert la porte du four).
Ensuite, je récupère la wax décarbo au fond de la tasse avec une cuillère puis je la met dans un verre de lait au chocolat et je bois le tout. J'ai bien tout pigé ?
Oui, parfait. Fais gaffe, 0.3 gr de résine c'est déjà beaucoup alors 0.3gr de wax bien décarbo..... A toi de voir.
Au cas où, le cbd (eliquide ou autre) permet de contrecarrer une trop forte montée de thc.
La wax ne va pas rester collé au fond de la tasse ?
Si mais si tu touilles avec du lait (je n'ai jamais préparé de chocolat chaud) ton concentré devrait se mélanger au corps gras qu'est le lait en formant un tout homogène.
Bien à toi,
Hors ligne

Hors ligne

Dernière modification par Mister No (31 mai 2018 à 18:33)
Hors ligne